《Java性能优化权威指南》
自顶向下:通过软件栈顶层的应用,从上往下寻找优化机会和问题
自底向上:从软件栈底层的CPU统计数据(如CPU高速缓存未命中率)开始,逐渐上升到应用自身的结构或使用方式,从而发现优化机会
-
查看进程dump
jstack pid进程id > dump.txt
-
查看IO是否有问题
iostat -dx 1
主要看%util,cpu在IO上花的资源
-
查看哪个进程IO占用高,安装IOTOP命令
yum install iotop
-
查看堆情况
jmap -heap
-
jstat 使用
jstat - [-t] [-h] [ []]
参数interval、count 代表查询间隔和次数,如果省略这两个参数,说明只查询一次,假设需要每250毫秒查询一次进程5828垃圾收集状况,一共查询5次,那么命令如下
jstat -gc 5828 250 5- -class 类加载统计信息
jstat -class 3400 1000 100| 参数 | 描述 |
|---|---|
| Loaded | 加载class数量 |
| Bytes | 所占用空间大小 |
| Unloaded | 未加载数量 |
| Bytes | 未加载占用空间 |
| Time | 时间 |
-
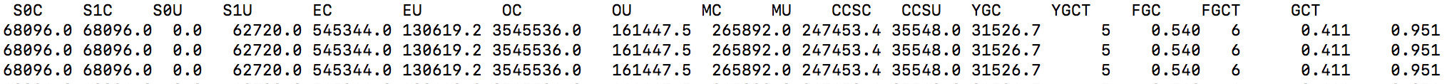
-gc
jstat -gc pid
参数 描述 S0C 第一个survivor的大小 S1C 第二个survivor的大小 S0U 第一个survivor的使用大小 S1U 第二个survivor的使用大小 EC Eden大小 EU Eden使用大小 OC 老年代大小 OU 老年代使用大小 MC 元空间大小 MU 元空间使用大小 CCSC 压缩类空间大小 CCSU 压缩类空间使用大小 YGC 年轻代垃圾回收次数 YGCT 年轻代垃圾回收消耗时间 FGC 老年代垃圾回收次数 FGCT 老年代垃圾回收消耗时间 GCT 垃圾回收消耗总时间 -
-gccapacity 输出堆各个区域使用的最大和最小空间
jstat -gccapacity 3400 20 20| 参数 | 描述 |
|---|---|
| NGCMN | 新生代最小容量 |
| NGCMX | 新生代最大容量 |
| NGC | 当期新生代容量 |
| S0C | 第一个survivor大小 |
| S1C | 第二个survivor大小 |
| EC | Eden大小 |
| OGCMN | 老年代最小容量 |
| OGCMX | 老年代最大容量 |
| OC | 当期老年代大小 |
| MCMN | 最小元数据容量 |
| MCMX | 最大元数据容量 |
| MC | 当期元数据空间大小 |
| CCSMN | 最小压缩类空间大小 |
| CCSMX | 最大压缩类空间大小 |
| CCSC | 当期压缩类空间大小 |
| YGC | 年轻代GC次数 |
| FGC | 老年代GC次数 |
- -gcutil 查看gc的统计信息,关注点主要是 已使用/总空间的占比情况
jstat -gcutil 31798参数含义:
| 参数 | 描述 |
|---|---|
| S0 | 年轻代中第一个survivor 已使用的占当期容量百分比 |
| S1 | 年轻代中第二个survivor已使用的占当期容量的百分比 |
| E | 年轻代中Eden已使用占当期容量的百分比 |
| O | old代已使用的占当期容量的百分比 |
| M | 元空间(MetaspaceSize)已使用的占当期容量百分比 |
| CCS | 压缩使用比例 |
| YGC | 年轻代垃圾回收次数 |
| FGC | 老年代垃圾回收次数 |
| FGCT | 老年代垃圾回收消耗时间 |
| GCT | 垃圾回收消耗总时间 |
-
-gcnew 新生代垃圾回收统计
参数 描述 S0C 第一个survivor大小 S1C 第二个survivor大小 S0U 第一个survivor使用大小 S1U 第二个survivor使用大小 TT 对象在新生代存活次数 MTT 对象在新生代存活的最大次数 DSS 期望的survivor大小 EC Eden大小 EU Eden使用大小 YGC 年轻代回收次数 YGCT 年轻代回收消耗时间
常见配置汇总 堆设置
-Xms: 初始堆大小
-Xmx: 最大堆大小
-Xmn: 年轻代大小
-XX:NewSize=n: 设置年轻代初始大小
-XX:MaxNewSize: 设置年轻代最大值
-XX:NewRatio=n: 设置年老代和年轻代的比值,年老代/年轻代。如:为3,表示年轻代与年老代比值为1:3,年轻代占整个年轻代年老代和的1/4
-XX:SurvivorRatio=n: 年轻代中Eden区与两个Survivor区的比值。注意Survivor区有两个。Eden/S0 = Eden/S1, 如:3,表示Eden:Survivor=3:2,一个Survivor区占整个年轻代的1/5
-XX:TargetSurvivorRatio: 设置survivor区的可使用率。当survivor的空间使用率达到这个数值时,会将对象送入老年代
-XX:MaxPermSize=n: 设置最大持久代大小
-XX:PermSize=n: 设置初始持久代大小
-XX:MinHeapFreeRatio: 设置堆空间最小空闲比例。当堆空间的空闲内存小于这个数值时,JVM便会扩展堆空间
-XX:MaxHeapFreeRatio: 设置堆空间最大空闲比例。当堆空间的空闲内存大于这个数值时,便会压缩堆控件,得到一个较小的堆
-XX:PretenureSizeThreshold: 设置大对象直接进入老年代的阈值,当对象的大小超过这个值时,将直接在老年代分配
-XX:MaxTenuringThreshold: 设置对象进入老年代的年龄的最大值。每一次Minor GC后,对象年龄加1。任何大于这个年龄的对象,一定会进入老年代
-XX:MinHeapFreeRatio:设置堆空间最小空闲比例,默认40,当堆空间的空闲内存小于这个数值时,JVM便会扩展堆空间
-XX:MaxHeapFreeRatio:设置堆空间的最大空闲比例,默认是70,当堆空间的空闲内存大于这个数值时,便会压缩堆空间,得到一个较小的堆
其他参数 -XX:CompileThreshold: JIT编译阈值,当函数的调用次数超过该值时,JIT将字节码编译成本地机器码
-XX:CITime: 打印JIT编译耗时
-XX:PrintCompilation: 打印JIT编译信息
-XX:+HeapDumpOnOutOfMemoryError 发生OOM时将堆信息保存到文件
-XX:OnOutOfMemoryError=\home 发生OOM时运行第三方脚本
-Xlog:safepoint 应用程序在GC发生时的停顿时间和应用程序在GC停顿期间的执行时间
-XX:+TraceClassLoading 跟踪类的加载信息
-XX+TraceClassUnloading 跟踪类的卸载信息
-verbose:class 同时开启类的加载信息和卸载信息
-XX:+DisableExplicitGC 禁用显示的GC操作,System.gc()不会触发Full GC
-Xnoclassgc 禁用类回收
-Xverify:none 禁用类验证
-XX:+UseCompressedOops 启用指针压缩
收集器设置
-XX:+UseSerialGC: 新生代和老年代使用串行收集器
-XX:+UseParallelGC: 新生代使用并行(Parallel Scavenge)收集器,老年代使用串行收集器
-XX:+UseParNewGC: 新生代使用并行收集器,老年代使用串行收集器
-XX:+UseParalledlOldGC: 新生代和老年代都使用并行收集器
-XX:+UseConcMarkSweepGC: 设置CMS收集器
-XX:+UseZGC: 使用ZGC
垃圾回收统计信息
-XX:+PrintGC
-XX:+PrintGCDetails
-XX:+PrintGCTimeStamps
-Xloggc:filename
-Xlog:gc* 9以后
并行收集器设置
-XX:+UseParNewGC: 设置新生代使用并行收集器
-XX:+UseParallelOldGC: 设置老年代使用并行收集器
-XX:ParallelGCThreads=n: 设置并行收集器收集时使用的CPU数。并行收集线程数。
-XX:MaxGCPauseMillis=n: 设置并行收集最大暂停时间
-XX:GCTimeRatio=n: 设置垃圾回收时间占程序运行时间的百分比,吞吐量大小,0-100之间的整数,公式为1/(1+n)
-XX:+UseAdaptiveSizePolicy: 打开自适应GC策略,新生代大小,eden和survivor的比例,晋升老年代的对象年龄等参数会自动调整,以达到堆大小,吞吐量和停顿之间的平衡点
CMS收集器设置,Java9以后已经弃用
-XX:+UseConcMarkSweepGC: 新生代使用并行收集器,老年代使用CMS+串行收集器
-XX:+CMSIncrementalMode: 设置为增量模式。适用于单CPU情况。
-XX:ParallelGCThreads=n: 设置并发收集器年轻代收集方式为并行收集时,使用的CPU数。并行收集线程数。
-XX:+CMSInitiatingOccupancyFraction: 设置CMS收集器在老年代空间被使用多少后触发,默认92%
-XX:+UseCMSCompactAtFullCollection: 设置CMS收集器在完成垃圾收集后是否要进行一次内存碎片的整理
-XX:CMSFullGCsBeforeCompaction:Java9后过期,设置多少次CMS垃圾回收后,进行一次内存压缩
-XX:+CMSClassUnloadingEnabled: 允许对类元数据进行回收
-XX:+CMSParallelRemarkEnabled: 启用并行重标记
-XX:+CMSParallelInitialMarkEnabled:在初始标记的时候使用多线程
-XX:CMSInitiatingPermOccupancyFraction: 当永久区占用率达到这一百分比时,启动CMS回收(前提是开启-XX:+CMSClassUnloadingEnabled)
-XX:+UseCMSInitiatingOccupancyOnly: 表示只在到达阈值的时候(-XX:CMSInitiatingPermOccupancyFraction指定的值),才进行CMS回收,如果不指定,JVM仅在第一次使用设定值,后续会自动调整
-XX:+CMSScavengeBeforeRemark:在CMS GC 前启动一次minor gc,目的在于减少老年代对年轻代的引用,降低CMS GC 标记阶段的开销,一般CMS的GC耗时80%都在标记阶段
G1回收器设置
-XX:+UseG1GC: 使用G1回收器
-XX:+UnlockExperimentalVMOptions: 允许使用实验性参数
-XX:MaxGCPauseMillis: 设置最大垃圾收集停顿时间(默认200ms)
-XX:GCPauseIntervalMillis: 设置停顿间隔时间
-XX:+DisableExplicitGC: 禁用显示GC
-XX:ParallelGCThreads:指定GC工作的线程数量
-XX:G1HeapRegionSize: 指定分区大小(1MB-32MB,必须是2的N次幂),默认将整堆划分为2048个分区
-XX:G1NewSizePercent: 新生代内存初始空间(默认整堆5%,值配置整数,默认就是百分比)
-XX:G1MaxNewSizePercent: 新生代内存最大空间
-XX:TargentSurvivorRatio: Survivor区的填充容量(默认50%),Survivor区域里的一批对象总和超过了Survivor区域的50%,此时会把年龄n(含)以上的对象都放入老年代
-XX:MaxTenuringThreshold:最大年龄阈值(默认15)
更多垃圾回收器参数,见https://docs.oracle.com/en/java/javase/13/docs/specs/man/java.html
堆大小设置
JVM 中最大堆大小有三方面限制:
-
相关操作系统的数据模型(32-bt还是64-bit)限制;
-
系统的可用虚拟内存限制;
-
系统的可用物理内存限制。
32位系统下,一般限制在1.5G~2G;64为操作系统对内存无限制。我在Windows Server 2003 系统,3.5G物理内存,JDK5.0下测试,最大可设置为1478m。
典型设置: java -Xmx3550m -Xms3550m -Xmn2g -Xss128k
-Xmx3550m:设置JVM最大可用内存为3550M。
-Xms3550m:设置JVM初始内存为3550m。此值可以设置与-Xmx相同,以避免每次垃圾回收完成后JVM重新分配内存。
-Xmn2g:设置年轻代大小为2G。整个JVM内存大小=年轻代大小 + 年老代大小 + 持久代大小。持久代一般固定大小为64m,所以增大年轻代后,将会减小年老代大小。此值对系统性能影响较大,Sun官方推荐配置为整个堆的3/8。
-Xss128k:设置每个线程的堆栈大小。JDK5.0以后每个线程堆栈大小为1M,以前每个线程堆栈大小为256K。根据应用的线程所需内存大小进行调整。在相同物理内存下,减小这个值能生成更多的线程。但是操作系统对一个进程内的线程数还是有限制的,不能无限生成,经验值在3000~5000左右。
java -Xmx3550m -Xms3550m -Xss128k -XX:NewRatio=4 -XX:SurvivorRatio=4 -XX:MaxPermSize=16m -XX:MaxTenuringThreshold=0
-XX:NewRatio=4:设置年轻代(包括Eden和两个Survivor区)与年老代的比值(除去持久代)。设置为4,则年轻代与年老代所占比值为1:4,年轻代占整个堆栈的1/5
-XX:SurvivorRatio=4:设置年轻代中Eden区与Survivor区的大小比值。设置为4,则两个Survivor区与一个Eden区的比值为2:4,一个Survivor区占整个年轻代的1/6
-XX:MaxPermSize=16m:设置持久代大小为16m。
-XX:MaxTenuringThreshold=0:设置垃圾最大年龄。如果设置为0的话,则年轻代对象不经过Survivor区,直接进入年老代。对于年老代比较多的应用,可以提高效率。如果将此值设置为一个较大值,则年轻代对象会在Survivor区进行多次复制,这样可以增加对象在年轻代的存活时间,增加在年轻代即被回收的概率。
回收器选择
JVM给了三种选择:串行收集器、并行收集器、并发收集器,但是串行收集器只适用于小数据量的情况,所以这里的选择主要针对并行收集器和并发收集器。默认情况下,JDK5.0以前都是使用串行收集器,如果想使用其他收集器需要在启动时加入相应参数。JDK5.0以后,JVM会根据当前系统配置进行判断。 吞吐量优先的并行收集器
如上文所述,并行收集器主要以到达一定的吞吐量为目标,适用于科学技术和后台处理等。
典型配置: java -Xmx3800m -Xms3800m -Xmn2g -Xss128k -XX:+UseParallelGC -XX:ParallelGCThreads=20
-XX:+UseParallelGC:选择垃圾收集器为并行收集器。此配置仅对年轻代有效。即上述配置下,年轻代使用并发收集,而年老代仍旧使用串行收集。
-XX:ParallelGCThreads=20:配置并行收集器的线程数,即:同时多少个线程一起进行垃圾回收。此值最好配置与处理器数目相等。
java -Xmx3550m -Xms3550m -Xmn2g -Xss128k -XX:+UseParallelGC -XX:ParallelGCThreads=20 -XX:+UseParallelOldGC
-XX:+UseParallelOldGC:配置年老代垃圾收集方式为并行收集。JDK6.0支持对年老代并行收集。
java -Xmx3550m -Xms3550m -Xmn2g -Xss128k -XX:+UseParallelGC -XX:MaxGCPauseMillis=100
-XX:MaxGCPauseMillis=100:设置每次年轻代垃圾回收的最长时间,如果无法满足此时间,JVM会自动调整年轻代大小,以满足此值。
java -Xmx3550m -Xms3550m -Xmn2g -Xss128k -XX:+UseParallelGC -XX:MaxGCPauseMillis=100 -XX:+UseAdaptiveSizePolicy
-XX:+UseAdaptiveSizePolicy:设置此选项后,并行收集器会自动选择年轻代区大小和相应的Survivor区比例,以达到目标系统规定的最低相应时间或者收集频率等,此值建议使用并行收集器时,一直打开。
响应时间优先的并发收集器
如上文所述,并发收集器主要是保证系统的响应时间,减少垃圾收集时的停顿时间。适用于应用服务器、电信领域等。
典型配置: java -Xmx3550m -Xms3550m -Xmn2g -Xss128k -XX:ParallelGCThreads=20 -XX:+UseConcMarkSweepGC -XX:+UseParNewGC
-XX:+UseConcMarkSweepGC:设置年老代为并发收集。测试中配置这个以后,-XX:NewRatio=4的配置失效了,原因不明。所以,此时年轻代大小最好用-Xmn设置。
-XX:+UseParNewGC:设置年轻代为并行收集。可与CMS收集同时使用。JDK5.0以上,JVM会根据系统配置自行设置,所以无需再设置此值。
java -Xmx3550m -Xms3550m -Xmn2g -Xss128k -XX:+UseConcMarkSweepGC -XX:CMSFullGCsBeforeCompaction=5 -XX:+UseCMSCompactAtFullCollection
-XX:CMSFullGCsBeforeCompaction:由于并发收集器不对内存空间进行压缩、整理,所以运行一段时间以后会产生“碎片”,使得运行效率降低。此值设置运行多少次GC以后对内存空间进行压缩、整理。
-XX:+UseCMSCompactAtFullCollection:打开对年老代的压缩。可能会影响性能,但是可以消除碎片
辅助信息
JVM提供了大量命令行参数,打印信息,供调试使用。主要有以下一些: -XX:+PrintGC
输出形式:[GC 118250K->113543K(130112K), 0.0094143 secs]
[Full GC 121376K->10414K(130112K), 0.0650971 secs]
-XX:+PrintGCDetails
输出形式:[GC [DefNew: 8614K->781K(9088K), 0.0123035 secs] 118250K->113543K(130112K), 0.0124633 secs]
[GC [DefNew: 8614K->8614K(9088K), 0.0000665 secs][Tenured: 112761K->10414K(121024K), 0.0433488 secs] 121376K->10414K(130112K), 0.0436268 secs]
-XX:+PrintGCTimeStamps -XX:+PrintGC:PrintGCTimeStamps可与上面两个混合使用
输出形式:11.851: [GC 98328K->93620K(130112K), 0.0082960 secs]
-XX:+PrintGCApplicationConcurrentTime:打印每次垃圾回收前,程序未中断的执行时间。可与上面混合使用
输出形式:Application time: 0.5291524 seconds
-XX:+PrintGCApplicationStoppedTime:打印垃圾回收期间程序暂停的时间。可与上面混合使用
输出形式:Total time for which application threads were stopped: 0.0468229 seconds
-XX:PrintHeapAtGC:打印GC前后的详细堆栈信息
输出形式:
34.702: [GC {Heap before gc invocations=7:
def new generation total 55296K, used 52568K [0x1ebd0000, 0x227d0000, 0x227d0000)
eden space 49152K, 99% used [0x1ebd0000, 0x21bce430, 0x21bd0000)
from space 6144K, 55% used [0x221d0000, 0x22527e10, 0x227d0000)
to space 6144K, 0% used [0x21bd0000, 0x21bd0000, 0x221d0000)
tenured generation total 69632K, used 2696K [0x227d0000, 0x26bd0000, 0x26bd0000)
the space 69632K, 3% used [0x227d0000, 0x22a720f8, 0x22a72200, 0x26bd0000)
compacting perm gen total 8192K, used 2898K [0x26bd0000, 0x273d0000, 0x2abd0000)
the space 8192K, 35% used [0x26bd0000, 0x26ea4ba8, 0x26ea4c00, 0x273d0000)
ro space 8192K, 66% used [0x2abd0000, 0x2b12bcc0, 0x2b12be00, 0x2b3d0000)
rw space 12288K, 46% used [0x2b3d0000, 0x2b972060, 0x2b972200, 0x2bfd0000)
34.735: [DefNew: 52568K->3433K(55296K), 0.0072126 secs] 55264K->6615K(124928K)Heap after gc invocations=8:
def new generation total 55296K, used 3433K [0x1ebd0000, 0x227d0000, 0x227d0000)
eden space 49152K, 0% used [0x1ebd0000, 0x1ebd0000, 0x21bd0000)
from space 6144K, 55% used [0x21bd0000, 0x21f2a5e8, 0x221d0000)
to space 6144K, 0% used [0x221d0000, 0x221d0000, 0x227d0000)
tenured generation total 69632K, used 3182K [0x227d0000, 0x26bd0000, 0x26bd0000)
the space 69632K, 4% used [0x227d0000, 0x22aeb958, 0x22aeba00, 0x26bd0000)
compacting perm gen total 8192K, used 2898K [0x26bd0000, 0x273d0000, 0x2abd0000)
the space 8192K, 35% used [0x26bd0000, 0x26ea4ba8, 0x26ea4c00, 0x273d0000)
ro space 8192K, 66% used [0x2abd0000, 0x2b12bcc0, 0x2b12be00, 0x2b3d0000)
rw space 12288K, 46% used [0x2b3d0000, 0x2b972060, 0x2b972200, 0x2bfd0000)
}
, 0.0757599 secs]
-Xloggc:filename:与上面几个配合使用,把相关日志信息记录到文件以便分析。
调优总结
年轻代大小选择
响应时间优先的应用:
尽可能设大,直到接近系统的最低响应时间限制(根据实际情况选择)。在此种情况下,年轻代收集发生的频率也是最小的。同时,减少到达年老代的对象。
吞吐量优先的应用:
尽可能的设置大,可能到达Gbit的程度。因为对响应时间没有要求,垃圾收集可以并行进行,一般适合8CPU以上的应用。
年老代大小选择
响应时间优先的应用:
年老代使用并发收集器,所以其大小需要小心设置,一般要考虑并发会话率和会话持续时间等一些参数。如果堆设置小了,可能会造成内存碎片、高回收频率以及应用暂停而使用传统的标记清除方式;如果堆大了,则需要较长的收集时间。最优化的方案,一般需要参考以下数据获得:
并发垃圾收集信息
持久代并发收集次数
传统GC信息
花在年轻代和年老代回收上的时间比例
减少年轻代和年老代花费的时间,一般会提高应用的效率
吞吐量优先的应用:
一般吞吐量优先的应用都有一个很大的年轻代和一个较小的年老代。原因是,这样可以尽可能回收掉大部分短期对象,减少中期的对象,而年老代尽存放长期存活对象。
较小堆引起的碎片问题
因为年老代的并发收集器使用标记、清除算法,所以不会对堆进行压缩。当收集器回收时,他会把相邻的空间进行合并,这样可以分配给较大的对象。但是,当堆空间较小时,运行一段时间以后,就会出现“碎片”,如果并发收集器找不到足够的空间,那么并发收集器将会停止,然后使用传统的标记、清除方式进行回收。如果出现“碎片”,可能需要进行如下配置: -XX:+UseCMSCompactAtFullCollection:使用并发收集器时,开启对年老代的压缩。
-XX:CMSFullGCsBeforeCompaction=0:上面配置开启的情况下,这里设置多少次Full GC后,对年老代进行压缩
从延迟、吞吐量、内存大小来考虑。
-
-
适用场景:
- 堆内存较小(通常 < 1GB)的应用;
- 单核 CPU 或资源受限的环境(如嵌入式设备、简单客户端应用);
- 对延迟不敏感的场景(如本地工具类程序)。
-
不适用:服务端应用、多线程高并发场景。
-
-
-
适用场景:
- 对吞吐量要求高,对延迟不敏感的应用(如后台批处理任务、数据分析、科学计算);
- 堆内存中等(1GB ~ 10GB),且 CPU 核心数较多(充分利用多线程加速 GC);
- 不需要低延迟的服务(如离线数据处理)。
-
不适用:对响应时间敏感的服务(如 Web 应用、实时交易系统)。
-
-
- 适用场景:
- 对延迟敏感的服务端应用(如 Web 服务器、电商网站、API 服务),需要快速响应用户请求;
- 堆内存中等(1GB ~ 10GB),且 CPU 资源充足(需预留线程处理并发 GC);
- 无法接受长时间 STW 的场景。
- 不适用:
- 堆内存过大(>10GB)(并发阶段耗时太长,反而可能增加延迟);
- CPU 资源紧张的环境(并发阶段会抢占用户线程 CPU);
- JDK 9 及以上(CMS 已被标记为 deprecated,JDK 14 移除)。
- 适用场景:
-
- 适用场景:
- 堆内存较大(4GB ~ 数百 GB)的服务端应用(如企业级应用、中间件、微服务);
- 需要平衡吞吐量和延迟的场景(既不能接受过长停顿,也需要一定的吞吐量);
- 替代 CMS 的主流选择(JDK 9 后默认 GC)。
- 不适用:
- 堆内存极小(<4GB)(Region 管理的 overhead 不划算);
- 对延迟要求极高(如微秒级响应)的场景(STW 停顿通常在几十到几百毫秒)。
- 适用场景:
-
- 适用场景:
- 对延迟要求极高的场景(如高频交易系统、实时数据分析、大型分布式服务);
- 堆内存超大(数十 GB 到 TB 级),且需要快速响应的应用;
- 希望在大内存下保持低延迟的现代服务(如云原生应用)。
- 不适用:
- JDK 版本过低(需 JDK 11+,且 JDK 15 后才正式可用);
- 对吞吐量要求极致且可接受长停顿的场景(ZGC 为低延迟牺牲了部分吞吐量优化)。
- 适用场景:






