浓缩版编程之美(记录主要的推导思路)
在任务管理器的一个刷新周期内,CPU 忙(执行应用程序)的时间和刷新周期总时间的比率,就是 CPU 的占用率。给定一个程序,让它在任务管理器的刷新周期时间内一会儿忙,一会儿闲,然后调节忙/闲的比例,就可以控制 CPU 占用率。
- 进程忙可以通过执行空循环来实现;
- 进程空闲通过调用sleep()实现(进程空闲情况:等待用户输入、等待事件发生、或者主动进入休眠状态);
对于一个整数,求其二进制表示中“1”的个数,有下面几种方法:
- 除、余操作(除以2余1则当前位置为1);
- 使用位操作代替除、余;
- 每次取得
最右边的 1(仔细思考 num & (num-1)的含义); - 空间换时间(给出所有数对应1个数的数组,直接读取)。
下面为方法3的代码:
while(v){
v &= (v-1);
count ++;
}
两个与阶乘有关的题目:
N 的阶乘(N!) 末尾有多少个 0;
问题转换为 N! = K * 10^M (K不能被10整除,N!末尾有M个0)。对 N! 进行因式分解, N! = 2^X * 3^Y * 5^Z ... 由于 10 = 2*5,所以 M = min(X, Z)。因为能被2整除的数出现的频率比能被5整除的数高很多,所以 M=Z。计算 Z 有两种方法:
- 计算 i(i=1,2,...,N)的因式分解中5的指数,然后求和;
- Z =
[N/5] + [N/5^2 ] + [ N/5^3 ] + ...(公式中[N/5] 表示不大于N的数中 5 的倍数贡献一个5,[N/5^2 ]表示不大于N的数中 5^2 的倍数再共享一个5)。
第二种方法实现如下:
while(N){
count += N/5;
N /= 5;
}
N 的阶乘(N!) 中的二进制表示中最低位 1 的位置;
判断一个二进制数最后一位是否为1:
- 最后一位为0,将此二进制数右移一位,即为除以2的值;
- 最后一位为1,此二进制数是奇数,无法被2整除;
所以这个问题等同于求可以将二进制数右移多少位使最后一位为1,也即 N! 中含有质因数 2 的个数。等于 [N/2] + [N/4] + [N/8] + ...
while(N){
N >>= 1;
count += N;
}
无序数组中某个数出现的次数超过一半,找出该数 K。
Boyer–Moore majority vote 算法:如果每次删除两个不同的数,那么剩下的数中,K出现的次数仍然超过总数的一半。
def majorityElement(self, nums):
majority_num = 0
count = 0
for num in nums:
if count == 0:
majority_num = num
if majority_num != num:
count -= 1
else:
count += 1
return majority_num
Majority Element
Majority Element II
在长度为 N 的无序数组中同时找出最大的数和最小的数,要尽可能减少比较次数。
有下面几种解法:
- 寻找最大值和最小值看成是独立的问题,分别求解,需要 2*N 次;
- 用Min,Max存储当前的最小值和最大值,每次读取数组中两个数,比较这两个数,将大的数与Max比较更新Max,将小的数与Min比较更新Min。比较次数变为 1.5 * N。
- 分治的思想:分别求出前后 N/2 个数的 Min 和 Max,然后取较小的 Min 和 较大的 Max 即可。比较次数仍然为 1.5 * N
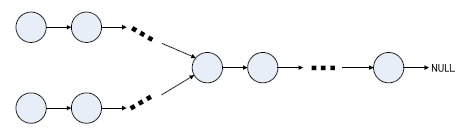
给出两个单向链表(不带环,如下图所示),判断这两个链表是否相交。
如果两个没有环的链表相交于某一节点,那么在这个节点之后的所有节点都是两个链表共有的。因此,如果它们相交,那么最后一个节点一定是共有的。时间复杂度O(Length(h1) + Length(h2)),空间复杂度 O(1)。
如果在一个二纬坐标系中,已知三角形顶点的坐标,那么对于坐标系中的任意一点,如何判断该点是否在三角形内(三角形边线上也可以)?
假设三角形顶点坐标 ABC(逆时针顺序),给定点为D。
解法一:面积法
把D和其他的三个点 A、B、C 连接起来,然后比较三角形 ABC 的面积与三角形 ABD、ACD、BCD面积之和的大小来判断点是否在三角形内部。
解法二:向量法
由于三角形是凸的,如果 D 在三角形 ABC 内部,那么沿着三角形的边界逆时针走,点 D 一定保持在边界的左边,也就是说点 D 在边 AB、BC、CA 的左边。
已知点 C 与向量 AB,对于向量 AC,AB:
- 如果叉积为负,则 C 在向量 AB 的右边;
- 如果叉积为正,则 C 在向量 AB 的右边;
- 如果叉积为0,则 C 在向量 AB 所在的直线上。
如下图所示:

