perf: reduce HashMap/collection allocation overhead in gateway path#48662
perf: reduce HashMap/collection allocation overhead in gateway path#48662xinlian12 wants to merge 10 commits intoAzure:mainfrom
Conversation
Eliminate per-response intermediate HashMap allocation by adding a new StoreResponse constructor that accepts HttpHeaders directly. Header names and values are populated into String[] arrays without materializing an intermediate Map. The JsonNodeStorePayload is updated to accept header arrays and only builds a Map lazily on error paths (extremely rare). Pre-size HashMaps throughout the hot path to avoid resize/rehash: - HttpHeaders request construction: sized to defaultHeaders + request headers - StoreResponse.replicaStatusList: pre-sized to 4 - StoreResponse.withRemappedStatusCode: pre-sized to header count - RxDocumentServiceRequest fallback maps: pre-sized to 32 Fix HttpUtils.asMap() double-allocation by iterating HttpHeaders directly instead of calling toMap() which creates an intermediate HashMap. Co-authored-by: Copilot <223556219+Copilot@users.noreply.github.com>
Benchmark Comparison ChartsSummary - Throughput (3-rep avg)1t-c128 / ReadThroughput - Best high-concurrency gain (+14.8%)Key observations: Candidate (orange dashed) sustains ~57K ops/s vs baseline ~47K ops/s throughout the entire 10-minute run. Latency mean and p99 both lower. CPU chart shows candidate at ~95% vs baseline ~92% - the candidate uses more CPU for useful work (higher throughput) rather than wasting it on HashMap GC overhead. 30t-c5 / ReadThroughput - Best multi-tenant gain (+23.3%)Key observations: With 30 tenants, the HashMap allocation savings multiply 30x, producing the largest relative gain. 1t-c1 / ReadThroughput - Low-concurrency validation (+13.8%)1t-c32 / ReadThroughput - Contention zone (+1.7%, within noise) |
Co-authored-by: Copilot <223556219+Copilot@users.noreply.github.com>
Co-authored-by: Copilot <223556219+Copilot@users.noreply.github.com>
| @@ -51,14 +52,14 @@ public static String urlDecode(String url) { | |||
|
|
|||
| public static Map<String, String> asMap(HttpHeaders headers) { | |||
| if (headers == null) { | |||
| return new HashMap<>(); | |||
| return new HashMap<>(4); | |||
| } | |||
| HashMap<String, String> map = new HashMap<>(headers.size()); | |||
There was a problem hiding this comment.
You also should make this instantiation
| HashMap<String, String> map = new HashMap<>(headers.size()); | |
| HashMap<String, String> map = new HashMap<>(((int) headers.size() / 0.75F) + 1); |
As internally, HashMap will resize once it hits a capacity factor of 0.75. Meaning this conversion has a map resize happening.
There was a problem hiding this comment.
good catch, yea will change, thanks ~~
There was a problem hiding this comment.
Depending on how many locations start doing this, may want to add in a helper method for this.
…ve null-guard inconsistency - Fix HashMap<>(4) to HashMap<>(6) for replicaStatusList to avoid rehash at 4 replicas (capacity 4 * 0.75 = threshold 3, resizes on 4th insert) - Refactor JsonNodeStorePayload: extract shared parseJson() method with Supplier<Map<String,String>> to eliminate duplicated error-handling logic - Remove misleading null ternary in getHttpRequestHeaders() since getHeaders() always returns non-null (fallback HashMap<>(32)) - Revert HashMap<>(16) to HashMap<>() in HttpHeaders default constructor (16 is already the default capacity, change was no-op noise) - Add unit tests for StoreResponse HttpHeaders constructor, HttpHeaders populateLowerCaseHeaders, and JsonNodeStorePayload array-header constructor Co-authored-by: Copilot <223556219+Copilot@users.noreply.github.com>
Fix HashMap<>(headers.size()) in HttpUtils.asMap() to account for the 0.75 load factor, avoiding resize when all headers are inserted. Extract mapCapacityForSize(int) helper in HttpUtils to consolidate the capacity calculation (n * 4 / 3 + 1) used across HttpUtils.asMap(), StoreResponse.withRemappedStatusCode(), and JsonNodeStorePayload.buildHeaderMap(). Addresses review feedback from alzimmermsft. Co-authored-by: Copilot <223556219+Copilot@users.noreply.github.com>
...mos/azure-cosmos/src/main/java/com/azure/cosmos/implementation/RxDocumentServiceRequest.java
Show resolved
Hide resolved
sdk/cosmos/azure-cosmos/src/main/java/com/azure/cosmos/implementation/RxGatewayStoreModel.java
Outdated
Show resolved
Hide resolved
...mos/azure-cosmos/src/main/java/com/azure/cosmos/implementation/RxDocumentServiceRequest.java
Show resolved
Hide resolved
sdk/cosmos/azure-cosmos/src/main/java/com/azure/cosmos/implementation/http/HttpHeaders.java
Show resolved
Hide resolved
…ize to HttpHeaders, clarify lowercase key guarantee - Add comments explaining why HashMap<>(32) is used as fallback in RxDocumentServiceRequest: capacity 32 gives threshold 24, covering typical 15-20 request headers without resize. - Apply HttpUtils.mapCapacityForSize() in RxGatewayStoreModel.getHttpRequestHeaders() to account for 0.75 load factor when constructing HttpHeaders. - Make mapCapacityForSize() public so it can be used from other packages. - Document in populateLowerCaseHeaders() Javadoc that keys are guaranteed lowercase because HttpHeaders.set() stores them via toLowerCase(Locale.ROOT). Co-authored-by: Copilot <223556219+Copilot@users.noreply.github.com>
| * Header names are stored as lowercase keys (matching HttpHeaders internal representation). | ||
| * The OWNER_FULL_NAME header value is URL-decoded inline. | ||
| */ | ||
| public StoreResponse( |
There was a problem hiding this comment.
this constructor has a major overlap with the constructor which accept headerMap, why not extract the common part out, so the main diff will only be how to construct the header array
| responseHeaderValues = new String[headerCount]; | ||
| this.endpoint = endpoint != null ? endpoint : ""; | ||
|
|
||
| httpHeaders.populateLowerCaseHeaders(responseHeaderNames, responseHeaderValues); |
There was a problem hiding this comment.
the original logic has HttpUtils.unescape, do we need here?
Extract duplicate contentStream/payload handling from both StoreResponse constructors into a shared parseResponsePayload() static helper method. Both constructors now use the array-based JsonNodeStorePayload constructor, eliminating code duplication while preserving identical behavior. Co-authored-by: Copilot <223556219+Copilot@users.noreply.github.com>
- Remove both unescape(Set<Entry>) and unescape(Map) overloads from HttpUtils as they are no longer needed - Update ResponseUtils to use the HttpHeaders-based StoreResponse constructor (same optimization as RxGatewayStoreModel) - Remove unescape test from HttpUtilsTest, keep asMap() coverage - Clean up unused imports (AbstractMap, ArrayList, List, Set) Co-authored-by: Copilot <223556219+Copilot@users.noreply.github.com>





Summary
Eliminate per-response intermediate HashMap allocation in the Cosmos DB gateway response path. Pre-size HashMaps throughout the hot path to avoid resize/rehash cascades under concurrency.
JFR Baseline Analysis
JFR profiling of the baseline (upstream-main) at 128 concurrent operations (1t-c128 ReadThroughput, 10-minute run, 38,848 CPU samples) identified HashMap/collection allocation as the #3 CPU and #2 allocation category:
CPU Budget (1t-c128, 38,848 samples)
Key CPU hotspots addressed:
Allocation Budget (1t-c128, JFR sampled, 34,157 sample events)
JFR
ObjectAllocationSampleevents over the 10-minute run. The "MB" column represents total allocation churn (bytes allocated then GC'd), not resident memory. At ~46K ops/s, the SDK allocates ~12 KB per operation in short-lived objects.Top collection allocation sites eliminated:
Root cause: Every Cosmos response created an intermediate HashMap in StoreResponse construction, populated it by iterating all HTTP headers, then immediately iterated the map again to extract arrays. This produced ~10% of all allocations from HashMap.newNode + HashMap.resize + HashMap objects. At 128 concurrency, the GC pressure from these short-lived maps compounded significantly.
Changes
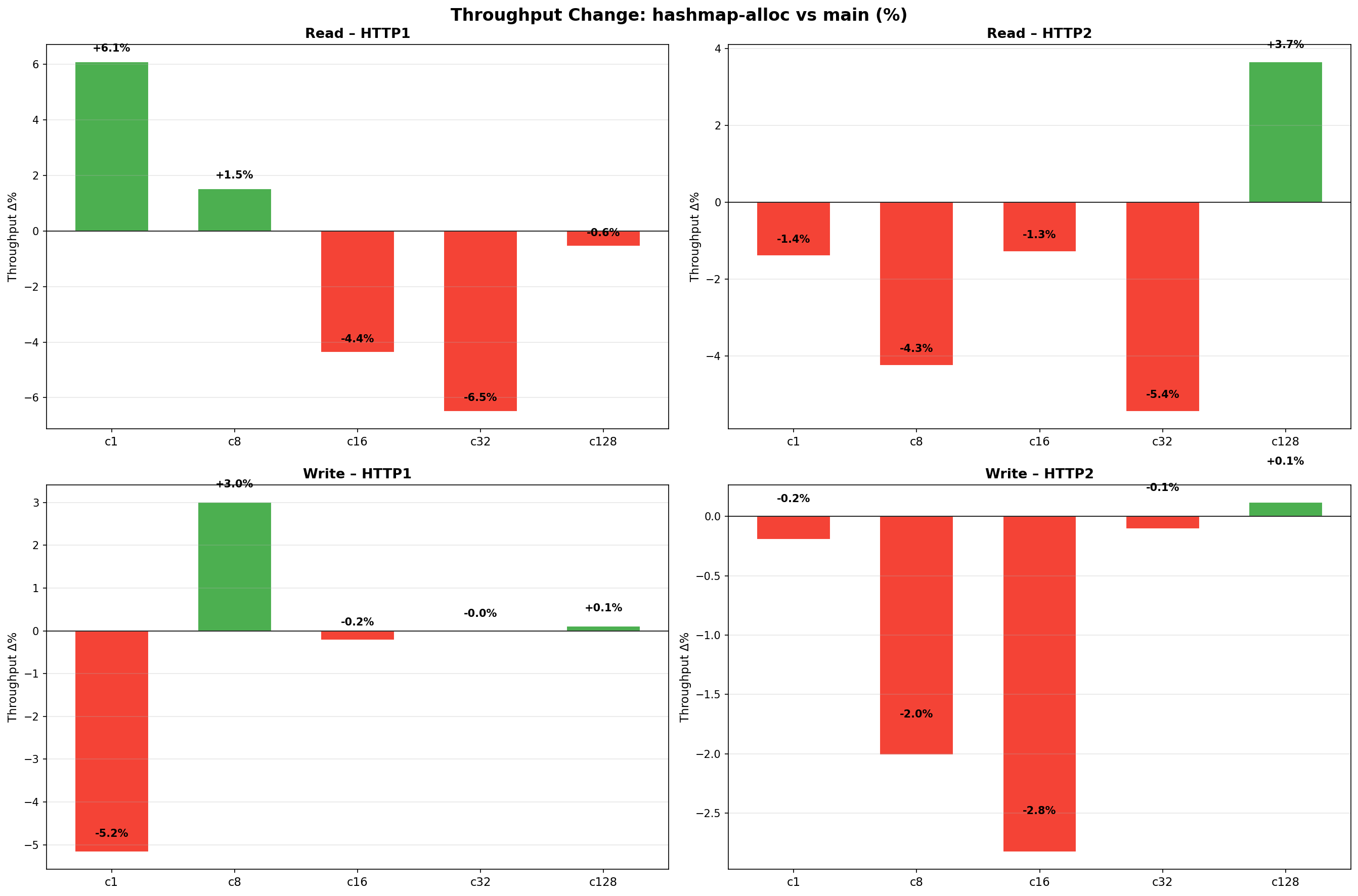
Benchmark Results
Environment: 16-core VM, JDK 21, GATEWAY mode, 3 repetitions per config averaged.
Why reads benefit more than writes
Read workloads benefit more (+13.7% vs +3.7%) because reads have lighter server-side processing, making client-side allocation overhead proportionally larger. Write bottleneck is primarily server-side, so the client-side HashMap optimization has less relative impact.
Why multi-tenant benefits most
30t-c5 showed the largest gain (+23.3%) because each of the 30 tenants has its own CosmosAsyncClient, multiplying the per-response HashMap allocation overhead 30x. Eliminating the intermediate HashMap removes 30x more waste per second compared to single-tenant configs.