Skip to content

abaldeo/CNN_DDI_Project

 
 

Folders and files

NameName
Last commit message
Last commit date

Latest commit

 

History

76 Commits
 
 
 
 
 
 
 
 
 
 
 
 
 
 
 
 
 
 
 
 
 
 
 
 
 
 
 
 
 
 
 
 
 
 
 
 
 
 
 
 
 
 
 
 
 
 
 
 
 
 

Repository files navigation

CS598 Deep Learning For Healthcare Project

Paper Title: CNN-DDI: a learning-based method for predicting drug–drug interactions using convolution neural networks

Team ID: 31

Team Members:

  • Avinash Baldeo (@abaldeo2)
  • Jinfeng Wu (@jinfeng4)
  • Hao Zhang (@haoz18)

For TA's 👇

  1. Final notebook
  2. Final Google Drive Folder
  3. Video Presentation Link
  4. Draft notebook
  5. Draft Google Drive folder

Introduction

The paper we have selected to reproduce is "CNN-DDI: a learning-based method for predicting drug–drug interactions using convolution neural networks" [1]. This research relates to the issue of drug-drug interactions (DDIs) in pharmaceuticals development. Antagonistic DDIs are reactions between two or more drugs that may lead to adverse effects that diminish the efficacy of the drugs involved. Since these drugs are expensive to develop it is important to be able to predict DDIs based on properties of drugs. Knowing if two drugs interact is also useful since drugs similar to either of the two are more likely to interact and cause the same effect.

CNN-DDI

CNN-DDI predict DDIs by learning from a chosen combination drug features such as categories, targets, pathways, and enzymes. It builds on a previous work “A multimodal deep learning framework for predicting drug-drug interaction events” [2], which uses a DNN model along with four drug features (Target, Enzyme, Pathways and Substructure) to predict DDIs. In the CNN-DDI model, a feature selection framework is constructed to select the best combination of drug features, which is stated to be the Target, Enzyme, Pathways and Category.

Table 5.png

Reproduction Steps

To reproduce the results from the paper, the following steps were performd:

  1. Downloaded the dataset collected in DDIMDL repo and added the category data from DrugBank website.
  2. Performed feature extraction to construct feature vectors for target,pathway,enzyme, and category.
  3. Performed similarity calculation and created drug similarity matrices using Jaccard similarity (also did for Cosine and Gausine similarity)
  4. Implemented the CNN-DDI model as described in the paper, including the convolutional layers, residual block, and activation functions.
  5. Trained the CNN-DDI model using the dataset collected and hyperparameter settings found from the CNN-DDI & DDIMDL papers.
  6. Evaluated the result using following metrics from the paper:Accuracy, F1-score, Recall, micro-averaged AUPR and micro-averaged AUC
  7. Compared our results with those reported in the CNN-DDI paper.

Dataset

The primary dataset used by CNN-DDI is from the DDIMDL Github repository (https://github.com/YifanDengWHU/DDIMDL). The DDIMDL paper classifies DDIs’ events into 65 types and includes 572 drugs with more than 70,000 associated events. The data was originally collected from the DrugBank website (https://go.drugbank.com/) using a web scraper and then processed and stored into a SQLite database (event.db). To utilize this dataset for CNN-DDI, we had extract the 1622 category types for the drugs in the DDIMDL database from the Drugbank and store it.

Event.db contains the data we compiled from DrugBank 5.1.3 verision. It has 4 tables:
1.drug contains 572 kinds of drugs and their features.
2.event contains the 37264 DDIs between the 572 kinds of drugs.
3.extraction is the process result of NLPProcess. Each interaction is transformed to a tuple: {mechanism, action, drugA, drugB}
4.event_number lists the kinds of DDI events and their occurence frequency.

Hypothesis Tested

The primary hypothesis tested was that the CNN-DDI model, which utilizes a feature selection framework and a novel CNN architecture, can accurately predict drug-drug interactions and outperform other the models mentioned in the paper (Random forest, Logistic Regression, K-nearest neighbor, Gradient boosted Decision Tree, & DDIMDL). This hypothesis was be tested by training the CNN-DDI model according to the approach mentioned in the paper and evaluating on the collected dataset with the same/inferred settings. Afterwards, we compared the results with table 3 and 4 from the paper to our results.

Ablations

To understand the contribution of different components to the model's performance, we performed both feature and model ablation study. For feature ablation, we evaluated the model's performance by individually removing drug categories, targets, pathways, and enzyme features. This was done in the CNN-DDI paper and we did the same to allow us to verify the claim made that the drug category is an effective predictor for DDIs. For model ablation, we assessed the impact of removing the residual block on the model performance as well as tried using different loss functions (specifically, KL-Divergence and Cosine Similarity).

Computation Requirements

The CNN-DDI model has approximately 39 million parameters. A single forward pass requires close to 332 million operations as shown below. To run the full cross-validation training and evaluation, it requires a modern, high performance GPU such as Google Colab T4 or GeForce RTX 2080 Ti with at least 11 GBs of memory. It takes on average 60-70 minutes to run 5-fold cross-validation. For each fold, the number of trials run is equal to the number of features. For each trial the number of training epochs is 100. However, since the training process is using the early-stopping strategy (automatically stops the training if no improvement is observed in 10 epochs), the actual number of epochs is usually between 12 and 20.

Layers         # operations for a single forward pass
conv1          439,296
conv2          28,114,944
conv3_1        56,229,888
conv3_2        56,229,888
conv4          112,459,776
residual       73,216
fc1            78,194,688
fc2            34,840

Total Operations: 331,776,536

Evaluation

Simply run CNN_DDI_final.py, the train-test procedure will start. Figure1.png

The function prepare will calculate the similarity between each drug based on their features.
The function cross_validation will take the feature matrix as input to perform 5-CV and calculate metrics. Two csv files will be generated. For example, pathway+target+enzyme+category_all_CNN_DDI.csv and pathway+target+enzyme+category_each_CNN_DDI.csv. The first file evaluates the method's overall performance while the other evaluates the method's performance on each event. The meaning of the metrics can be seen in array result_all and result_eve of CNN_DDI_final.py.

Usage

Example Usage

    python CNN_DDI_final.py -f pathway target enzyme category -c CNN_DDI

-f featureList: A selection of features to be used in CNN_DDI. The optional features are smile(substructure),target,enzyme, pathway, and category of the drugs. It defaults to pathway,target and enzyme, and category. -c classifier: A selection of prediction method to be used. The optional methods are CNN_DDI, DDIMDL, RF, KNN and LR. It defaults to CNN_DDI.
--similarity_measure: specify the similarity measure to use, with a default value of "Jaccard".

--num_folds: specify the number of folds for cross-validation, with a default value of 5

--num_epochs: specify, the number of epochs for training, with a default value of 100

--batch_size: specify the batch size, with a default value of 128

--evaluate_only: is a flag that when specified skips model training and runs evaluation if the weights are available in weights folder directory.

--save_weights: is a flag that when specified saves the model weights after each training epoch.

--loss_fn: specify the loss function to use during training, with a default value of "Jaccard".

-p NLPProcess: The choices are read and process. It means reading the processed result from database directly or processing the raw data again with NLPProcess.py. It defaults to read. In order to use NLPProcess.py, you need to install StanfordNLP package:

    pip install stanfordnlp

And you need to download english package for StanforNLP:

    import stanfordnlp
    stanfordnlp.download('en')

Requirement

Most of the code in this notebook is taken from the github repo for the paper "A multimodal deep learning framework for predicting drug-drug interaction events" [2]. This code was written for Python 3.7 and had the following dependencies.

  • numpy (==1.18.1)
  • Keras (==2.2.4)
  • pandas (==1.0.1)
  • scikit-learn (==0.21.2)
  • tensorflow (==1.15)

The code for this notebook is updated to be run in google colab environment (Python 3.10) and is tested with the following package versions:

  • numpy (==1.25.2)
  • pandas (==2.0.3)
  • scikit-learn (==1.2.2)
  • tensorflow (==2.15.0)
  • tqdm (==4.66.2)
  • psutil (==5.9.5)
  • gdown (==4.7.3)

Use the following command to install all dependencies.

    # pip install requirement.txt
    pip install numpy==1.25.2
    pip install pandas==2.0.3
    pip install scikit-learn==1.2.2
    pip install tensorflow==2.15.0
    pip install tqdm==4.66.2
    pip install psutil==5.9.5
    pip install gdown==4.7.3

Reproduction Commands

To reproduce our results, the following commands can be used

#For table 1
python CNN_DDI_final.py
python CNN_DDI_final.py -s Cosine
python CNN_DDI_final.py -s Gaussian
#For table 2
python CNN_DDI_final.py -f target
python CNN_DDI_final.py -f pathway
python CNN_DDI_final.py -f enzyme
python CNN_DDI_final.py -f category
python CNN_DDI_final.py -f pathway target
python CNN_DDI_final.py -f target enzyme
python CNN_DDI_final.py -f target category
python CNN_DDI_final.py -f pathway enzyme
python CNN_DDI_final.py -f pathway category
python CNN_DDI_final.py -f enzyme category
python CNN_DDI_final.py -f pathway target enzyme
python CNN_DDI_final.py -f pathway target category
python CNN_DDI_final.py -f target enzyme category
python CNN_DDI_final.py -f target enzyme category
python CNN_DDI_final.py -f pathway enzyme category
# For table 3
python CNN_DDI_final.py -c RF
python CNN_DDI_final.py -c KNN
python CNN_DDI_final.py -c LR
python CNN_DDI_final.py -c GBDT
# For table 4
python CNN_DDI_final.py -c DDIMDL
# For ablation
python CNN_DDI_final.py -lf kl_divergence
python CNN_DDI_final.py -lf cosine_similarity

Reproduction Results

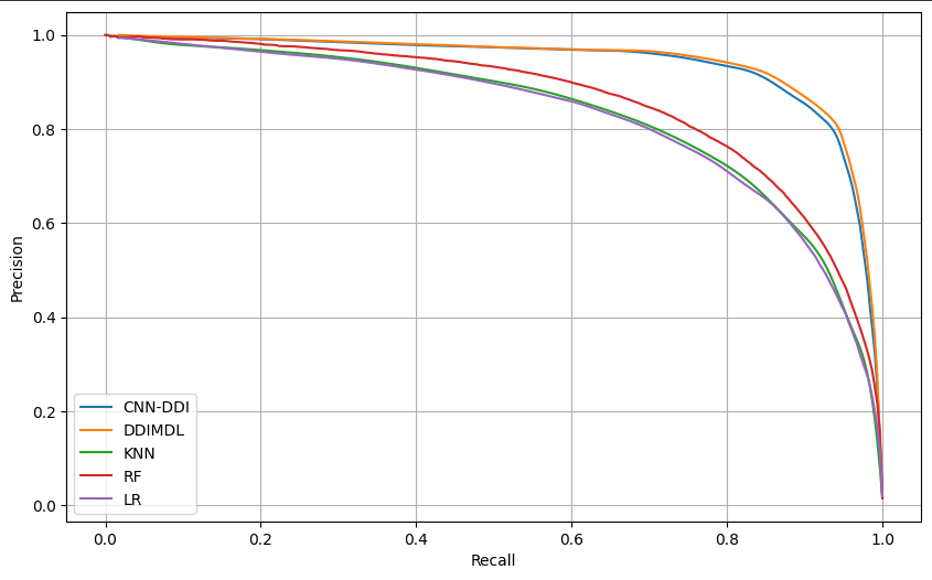
Table 1 R.png Table 2 R.png Table 3 R.png Table 4 R.png Ablation Plan.png Precision-Recall Curves.png AUPR and AUC.png

Citation

@article{zhang2022cnn,
  title={CNN-DDI: a learning-based method for predicting drug–drug interactions using convolution neural networks},
  author={Zhang, C. and Lu, Y. and Zang, T.},
  journal={BMC Bioinformatics},
  publisher={BioMed Central},
  doi={10.1186/s12859-022-04612-2},
  url={https://doi.org/10.1186/s12859-022-04612-2}
}

@article{deng2020multimodal,
  title={A multimodal deep learning framework for predicting drug-drug interaction events},
  author={Deng, Yifan and Xu, Xinran and Qiu, Yang and Xia, Jingbo and Zhang, Wen and Liu, Shichao},
  journal={Bioinformatics},
  doi={10.1093/bioinformatics/btaa501},
  url={https://doi.org/10.1093/bioinformatics/btaa501}
}

About

No description, website, or topics provided.

Resources

Stars

Watchers

Forks

Releases

No releases published

Packages

No packages published

Languages

  • Jupyter Notebook 50.5%
  • Rich Text Format 40.3%
  • Python 9.1%
  • Dockerfile 0.1%